泡泡资讯网
重庆小柏的文章
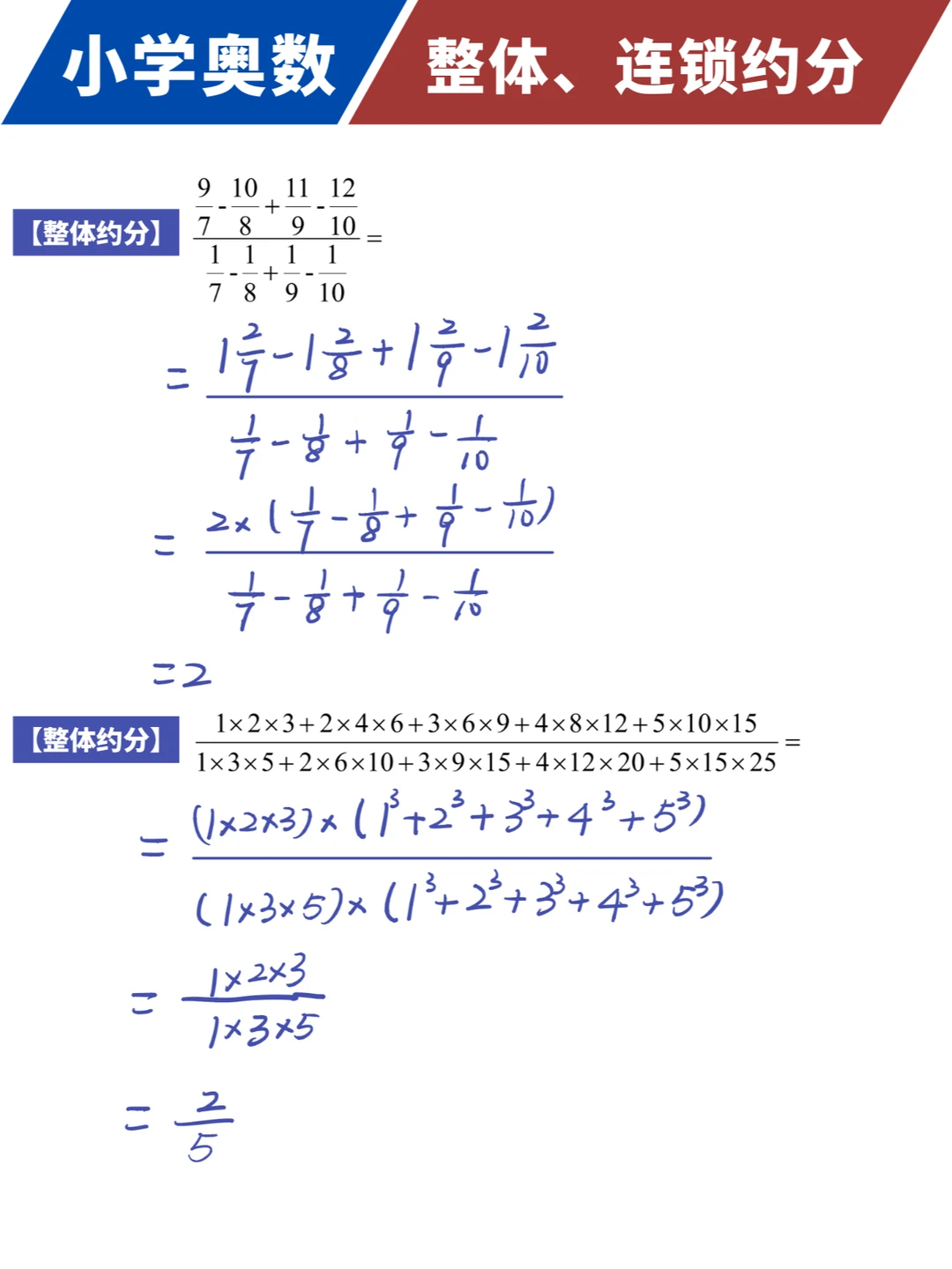
小学巧算:整体、连锁约分,提升运算速度❗
教育
2025-12-13 00:20
小学几何:圆的基本公式应用-求阴影2
教育
2025-12-03 00:17
😭真的太需要了,圆的阴影不再是娃的阴影
教育
2025-12-09 00:06
一图说清西附体系,重庆有娃的家长要知道❗
教育
2025-08-20 03:40
🧐重庆小升初冲刺七龙珠,家长规划参考❗
教育
2025-12-15 00:12
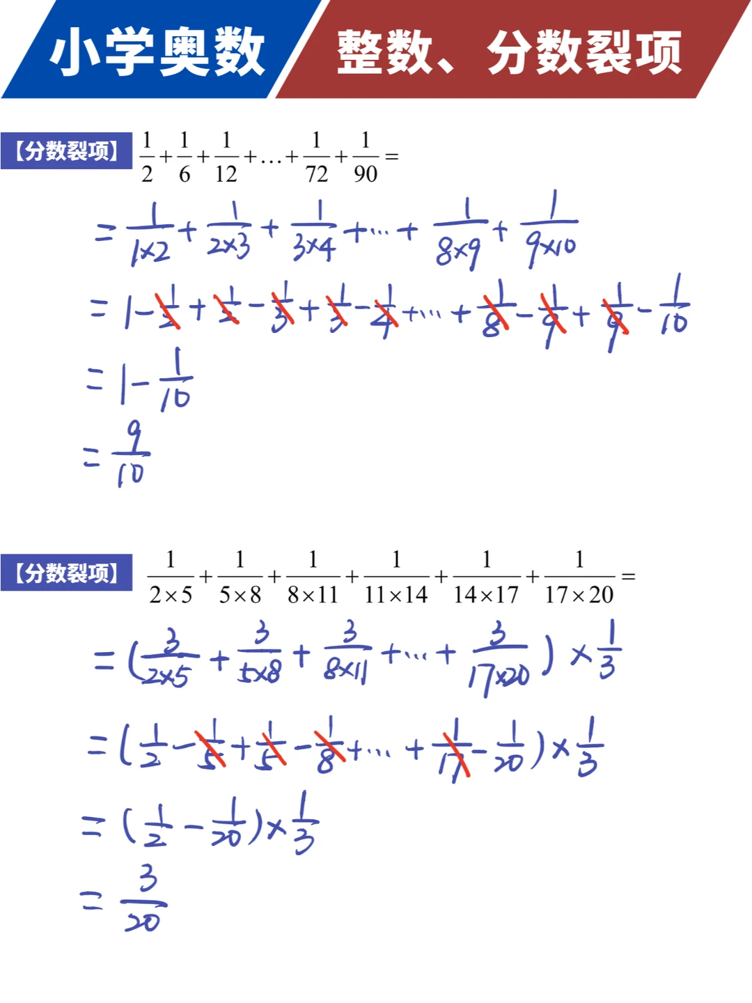
🔥整数、分数裂项,小学计算巧算必掌握❗
教育
2025-12-08 00:06
🔥小学行程中的接送问题,谁掌握谁快乐❗
教育
2025-12-16 00:29
五年级多边形的阴影面积计算,终于学透了❗
教育
2025-12-14 00:14
【手写】小学数论原来考这些,幸好提前练了
教育
2025-12-06 00:10
🔥数论知识汇总(上),小升初数学必掌握
教育
2025-09-30 14:23
小学数论板块难怪学不好,原来这些都没记住
教育
2025-11-30 00:00
六年级常考奥数题型总练习,掌握拿高分💯
教育
2025-12-11 00:06
五年级奥数思维测试题,常做压轴题,有难度
教育
2025-12-23 01:20
汇总的真好❗小学平面、立体几何公式全在这
教育
2024-06-18 02:56
工程问题,六年级的“噩梦”,终于可以啃透
教育
2025-12-13 00:09
三上数学知识点系统梳理,期中期末考都需要
教育
2025-12-16 00:29
四上数学知识点系统梳理,期中期末考都需要
教育
2025-12-20 00:22
六上数学知识点系统梳理,开学就掌握美滋滋
教育
2025-12-15 00:17
💥开学起猛了❗牛吃草问题别想难倒我😎
教育
2025-12-16 00:18
七龙珠小学奥数考点频次及偏好情况详细具览
教育
2025-12-23 01:05
第一页
下一页
重庆小柏
感谢大家的关注
热门分类
推荐
热榜
军事
NBA
体育
社会
明星八卦
娱乐
财经
科技
汽车
历史
国际
游戏
动漫
公益
搞笑
商业
互联网
数码
国际足球
房产
家居
时尚
科学探索
职场
育儿
股票
教育
影视
情感
热点
中国军情
武器
中国南海
中国足球
亚洲杯
科比
综合体育
CBA
投资
大咖秀
外汇
创业
风口
SUV
豪车
概念车
优惠
新能源
美国
欧洲
朝日韩
俄罗斯
孕期
街拍
婚姻
正能量